Reliability and Lifetime of LEDs
Zur Verfügung gestellt von Convergence Promotions LLC
2011-02-04
With the increasing complexity of technical equipment, modules or even individual components, reliability and lifetime and the costs involved with exchange and revision become increasingly important for the customer. Here, one must consider an optimization between requirements, functions, and costs over the lifetime of the product.
Introduction
The single requirement that an LED will not fail is no longer sufficient for modern, powerful components or devices. More often, it is additionally expected that they perform their required functions without failure. However, it is only possible to make a prognosis (probability) supported by statistics and trials as to what extent such requirements can be fulfilled. A direct answer or statement as to whether an individual device or component will operate without failure for a certain period of time cannot be given.
Currently, modern methods of quality management and reliability modeling are used in order to investigate and verify these types of questions.
This article provides a fundamental insight into the matters of “reliability” and “lifetime.” The terms lifetime and reliability are explained in further detail with respect to light emitting diodes (LEDs) and how these terms are understood by OSRAM Opto Semiconductors.
In addition, important factors that influence the lifetime and reliability of LEDs are described.
The Appendix provides descriptions of the mathematical foundations that are needed in practice.
The concept of reliability at OSRAM Opto Semiconductors
Zero Tolerance to Defects (ZTTD) is a rigid part of the corporate culture at OSRAM Opto Semiconductors. Only in this way is it possible for our customers to also aim for zero defects in their production and applications.
OSRAM Opto Semiconductors associates the term reliability with the fulfillment of customer expectations over the expected lifetime. In other words, the LED does not fail during its lifetime under the given environmental and functional conditions.
The reliability of the products is thus based on the chain of the materials, the manufacturing process, and the function of the component (Figure 1). In addition, the final application must also be taken into consideration. High reliability can only be achieved if the changing effects and interdependencies of the individual components are already taken into account during the development phase.
Neglecting this entirely or only focusing on one or two elements leads to a reduction in the quality of the product and thus to a decrease in reliability.
Reliability of LEDs

The reliability of a semiconductor element is the property that states how reliably a function assigned to the product is fulfilled within a period of time. It is subject to a stochastic process and is described by the probability of survival R(t).
A fault or failure is indicated if the component can no longer fulfill the functionality assigned to it.
Failures and failure rates are subdivided into three phases:
- Early failures
- Random or spontaneous failures
- Wear-out period

Since the failure rate is especially high at the beginning and end of the product cycle, the failure rate over time takes the form of a “bathtub” curve (Figure 2).
Thereby, each single failure mechanism exhibits its own chronological progression and shows therefore an individual “bathtub” curve.
For each of these phases, many different types of definitions, analysis methods, and mathematical formulas for reliability can be found in the literature. The most important definitions and methods that apply to LEDs are described in this section and in the Appendix.
For the sake of simplicity, the first two phases are combined into a so-called “extrinsic reliability period.” The third phase, the wear-out period, is correspondingly designated as the “intrinsic reliability period.”
Extrinsic reliability period
Extrinsic failures (early and spontaneous failures) are generated by defective materials, deviations in the manufacturing process or by incorrect handling and operation by the customer.

More than 99 percent of these extrinsic failures can be observed during installation of the parts in the application (e.g. by soldering) or in the first hours of operation. In contrast, between the early failure period and the wear-out period, the spontaneous failure rate for LEDs is extremely low.
In reliability mathematics, this failure period is described by an exponential distribution. An exponential distribution is based on a constant failure rate over time. The average failure rate is given in FIT (Failure unITs).
As a rule, an experimental determination of the middle failure rate is extremely difficult. For this reason, OSRAM OS uses the SN 29500 standard from Siemens AG, which incorporates the experience of failures in the field into the typical failure rates for LEDs (Figure 3). In the process, no distinction is made in regard to the cause of the individual failures.
Intrinsic reliability period
The intrinsic reliability period describes the so-called wear-out period of the component at the end of the product cycle. It is based on increased wear and aging of the material. This continuous change over time is generally measurable and is referred to as degradation.
For LEDs, the most significant degradation parameters are the changes in brightness or color coordinates. Other parameters such as forward voltage generally play a subordinate role.
During operation, LEDs experience a gradual decrease in luminous flux, measured in lumens. As a rule, this is accelerated by the operating current and temperature of the LED and also appears when the LED is driven within specifications.
The term “lumen maintenance” (L) is used in connection with the degradation of light in LEDs. This describes the remaining luminous flux over time with respect to the original luminous flux of the LED.
Due to continuous degradation, a failure criterion must be established in order to obtain a concrete evaluation of the LED failure. The point in time at which the luminous flux of the LED reaches the failure criterion is then described as the failure time or lifetime of the LED.
As a rule, the failure criterion is determined by the application. Typical values are 50 percent (L50) or 70 percent (L70), depending on the general illumination.

Since aging is based on a change in the material properties and is therefore subject to statistical processes, the lifetime values also are based on a statistical distribution.
The percentage of components that have failed is described by the term “mortality” (B). A value of B50 thus describes the point in time at which 50 percent of the components have failed. This value is generally specified as typical median lifetime, t50 or tml, for LEDs. In addition to the median value (B50), a value can also be specified when 10 percent of the components have failed (B10 value). This allows one to draw a conclusion about the width of the lifetime distribution (Figure 5).

For thermo-mechanical stress on a component (e.g. temperature cycles), the continuous aging process generally cannot be measured. This means that the constant aging process that leads to failure cannot be described by means of a characteristic measurement parameter such as light degradation during electrical operation. An extrapolation of the degradation curve to a defined failure criterion as is shown in Figure 4 is not possible here. In this case, in order to be able to make statements about the time of failure or the failure distribution, tests must be carried out until the most abrupt failures occur. An example of this is fatigue in adhesive or bonded connections.
Influencing factors with respect to reliability, and lifetime
Similar to conventional lights, the reliability, and lifetime of LED light sources is also dependent on various factors or can be influenced by these factors.
The most important physical influencing factors include humidity, temperature, current and voltage, mechanical forces, chemicals, and light radiation (Figure 6).
These can directly lead to total failure or influence the aging characteristics in the long term (e.g. brightness) and thus produce a change in the reliability and lifetime.


While such direct influencing factors are the temperature and resulting junction temperature Tj of the LED, for example, but the amount of current used to drive the LED is also an influencing factor. Under otherwise equal operating conditions, an increase in the ambient temperature as well as an increase in current produces an increase in the junction temperature. In general, however, an increase in junction temperature brings about a decrease in lifetime.
Another direct influencing factor is mechanical force. If large mechanical forces are applied to the LED, for example, this generally results in damage that can additionally lead to total failure of the LED.
The sources of the individual factors can be found in different areas such as LED design, LED processing, the customer application, and the environment and from there, can be traced back to various aspects and parameters (Figure 8).
If these four areas are examined in more detail, it can be determined that three of the four areas can be directly influenced by the LED manufacturer or the user. The last area, the environment, ultimately cannot be changed and must be considered as a given in the application.
For example, the source of the influencing factor, temperature, can be assigned to two areas: LED design and the customer application.
In the area of LED design, the source of the temperature influence lies both with the electrical parameters and the transfer of heat.
Depending on the current applied (IF) and the associated voltage (UF), a power dissipation is created, which to a large extent, is converted into heat. This leads to an increase in temperature in the junction of the LED. The amount of power dissipation is proportional to changes in the junction temperature.


The lower the thermal resistance of the LED, the better the thermal properties of the LED become. If heat is dissipated quickly and efficiently, the junction temperature does not increase as rapidly.
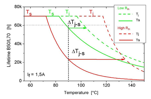
As an example, two components with differing Rth values (2.5 and 8 K/W) are examined at the same solder point temperature TS = 90°C and the same operating conditions (current) (Figure 9).
The junction temperature of the component with low thermal resistance only increases to ~104°C. In contrast, however, the component with the higher thermal resistance exhibits a junction temperature of >135°C.
As mentioned previously, the lifetime of an LED is reduced with an increase in the junction temperature.
At the same solder point temperature, the component with the lower Rth achieves a longer lifetime than the component with the higher Rth.
In addition to an increased lifetime, lower thermal resistance offers an additional advantage: At the same solder temperature, a component with a low Rth achieves a higher light output. The reason is the decrease in efficiency of an LED with an increase in junction temperature.
For the LED manufacturer, the influencing factors that have a significant influence on lifetime and reliability can already be taken into consideration in the development phase.
The effects of these factors can be reduced through the following measures:
- Robust design
- Optimal thermal management
- Stable and optimized production processes in order to minimize the risk of spontaneous failure
- Customer support for including LED designs in the customer application
The following measures can be taken:
- Optimal thermal board management
- Optimal design for efficient use of the LED
- Handling the LED according to specifications
- Considering the strengths and weaknesses of LEDs
An insufficient thermal management directly leads to a reduction of the reliability and lifetime of the LED (see application note “Thermal Resistance of LEDs” by OSRAM OS). This application note provides an exact description of how the thermal resistance is determined for the individual packaging types at OSRAM OS.
In general, it can be ascertained, however, that in spite of the high reliability of OSRAM OS LEDs, only through the consideration of all areas and all changing effects and dependencies can a high overall or system reliability be achieved.
Validation and confirmation of reliability and lifetime
All LED packages and chip families from OSRAM OS undergo a number of tests for validation and confirmation of reliability and lifetime. The selection of tests, test conditions, and duration occurs by means of an internal OSRAM OS qualification specification based on JEDED, MIL, and IEC standards. In addition, the requirements profile of the component is also included.
Table 1 shows the list of typically performed tests. In addition, the various test conditions, the test duration and the stress factors involved are listed.
Based on the internal OSRAM OS qualification specification and the requirements profile, the selection of the test, the test conditions, and test duration can be set.
The mechanical stability of an LED is checked by means of a solder heat resistance test as well as powered and unpowered temperature cycle tests. Here, the cycle count and the temperature difference serve as measures of stability. These types of tests are also drawn upon to evaluate the failure rate.
For proof of reliability, the LEDs undergo individual tests of up to 1000 hours in duration. If the properties and interactions of the integral parts of the LED are known, results can be taken from already tested products and applied to other types of LEDs with the same material characteristics. As a result, the general test scope is reduced, since fewer products must be tested. This allows the test duration of individual products to be increased to a longer period. At OSRAM OS, tests sequences are carried out for up to 10,000 hours, for example, in order to investigate general effects. Individual technology platforms are even evaluated for more than 35,000 hours.
| TEST | CONDITIONS | DURATION | STRESS FACTORS |
| Resistance to soldering heat (RTSH) | Convection soldering 260°C/10 sec | 3 runs | Temperature, chemicals, mechanical forces |
| JESD22-A113 | |||
| Resistance to soldering heat (RTSH) | Wave soldering 260°C/10 sec | 3 runs | Temperature, chemicals, mechanical forces |
| JESD22-A106 | |||
| Temperature & humidity bias (T&HB) | T = 85°C R.H. = 85% IF = 5 mA/10 mA |
1000 h | Temperature, humidity |
| JESD22-A101 | |||
| Temperature cycle (TC) | -40°C/+100°C 15 min at extreme temps |
300/500/1000 cycles | Mechanical forces |
| JESD22-A104 | |||
| Power temp. cycling (PTC) | -40/+85°C IF = [max derating] ton/off = 5 min |
1000 h | Temperature, current, mechanical forces |
| JESD22-A105 | |||
| Steady state life test (SSLT) | T = 25°C IF = [max derating] |
1000 h | Temperature, current |
| JESD22-A108 | |||
| Steady state life test (SSLT) | T = 85°C IF = [max derating] |
1000 h | Temperature, current |
| JESD22-A108 | |||
| Pulsed life test (PLT) | T = 25°C IF = [max derating] |
1000 h | Temperature, current |
| JESD22-A108 | |||
| ESD | Human body model 2000 V |
1 pulse per polarity direction | Voltage |
| JESD22-A114 |
These types of selective, extremely long-term investigations provide a solid basis for calculation of lifetime. According to OSRAM OS, however, the resulting test data should not be “blindly” extrapolated to determine the average lifetime. Rather, this data should make it possible to understand why the different materials used behave the way they do.
This allows a highly reliable extrapolation or prediction of the product performance characteristics to be made, which is confirmed by a small deviation from target values.
Statements about lifetime that are based on mathematical results without test data and background knowledge should generally be viewed with caution.
On-site support from OSRAM OS regarding reliability and lifetime
OSRAM Opto Semiconductors supports its customers worldwide. This support begins in the presales phase. OSRAM Opto Semiconductors offers its customers assistance with the selection of appropriate light sources and advises them in implementing optimally executed applications. In addition, OSRAM Opto Semiconductors provides technical expertise regarding quality and reliability.
APPENDIX
Fundamentals — definition of terms
In the following, the most important and relevant terms and definitions from the areas of quality management and statistics are presented, as well as an example for a reliability distribution.
Reliability and failure probability
Reliability R(t) states the probability P, that a system or individual component remains functional during a timeframe t under normal operating and environmental conditions. In complementary terms, one speaks of the probability of failure F(t) or unreliability.
Thus, if n components are driven under the same conditions and the number of failures is r(t) at time t, then the following applies:

At the beginning, all components function properly (time t=0) and at some point, they all are defective. That is,

This means that the probability of failure (F(t)) of a component starts at 0 (0 percent) and increases to 1 (100 percent) over time — an inverse relation to reliability.
Probability of failure density (Failure Density)
The failure density f(t) states the probability of a failure at a time t, with respect to a time interval dt.
Mathematically, it represents the derivation of the probability of failure.


Failure rate
The failure rate λ(t) is an important indicator for the reliability or lifetime of an object. It describes the probability of a failure within a time interval dt, with respect to the components that are functional at time t.

The failure rate states how many units fail on average within a period of time. Usually, failure rates are given in units of [1/time unit] such as 1 failure per hour (-1/h). Due to the low failure rate of electronic components, this is often stated as a FIT:

In general, the failure rate is not constant. In many cases, the failure rate usually follows the so-called “bathtub curve” over the entire component life cycle (Figure 11).

The chronological sequence is comprised of three phases:
Phase I — the early failure period
At the beginning of the product lifetime, a higher failure rate can be observed, which quickly falls off over time. This phase can be described with a Weibull distribution. This is generally caused by design defects, weaknesses in the material, quality fluctuations in production, or through application failures (dimensioning, handling, testing, operation, etc,) or unreal, unconfirmed failures.
Phase II with constant failure rate
This phase corresponds to the actual period of economic usefulness. In this phase, the failure rate is constant and can be described with an exponential or Poisson distribution. Here, failures mostly appear suddenly and purely at random.
Phase III — wear-out failures
In this phase, the failure rate increases at a faster rate due to aging, wear-out, fatigue, etc. with continuous operation. This phase also can be described by a Weibull distribution.
With the representation and interpretation of bathtub curves, it should generally be kept in mind that in most cases, the curve is only based on a few test points.
The mathematical description is somewhat imprecise due to deviations and test-related scattering. A reliable representation is therefore only possible if a statistically large quantity of data has been obtained.
In practice, it can also happen that the time periods of the individual phases are significantly different. Depending on the complexity of the object and the maturity of the manufacturing process, the initial failure period may not be present at all or may be characterized by a period of up to a few thousand hours of operation.
In order to minimize the failure rate, specific preventative measures are already carried out by OSRAM OS during the development phase as well as in the subsequent manufacturing phase. In addition, the failure rate is strongly influenced by the predominant operating conditions. For example, for classic semiconductor elements, the failure rate doubles when the junction temperature increases by 10 to 20°C.
Distributions for reliability analysis
The Weibull and exponential distribution functions used for describing the bathtub curve are described in more detail in the following.
Weibull distribution
Due to its flexibility, the Weibull distribution is well suited to statistical analysis of all types (areas I to III of the bathtub curve). The primary advantage of this function is that the curve can be adjusted with the shape parameter b. In this way, a large number of well-established fixed-form distributions (such as normal, log, exponential distributions, etc.) can be realized.
With a shape parameter b<1, a decreasing failure rate (area I) is described, with b=1, a constant failure rate (area II — exponential distribution) is described and with b>1, an increasing failure rate (area III) is described.
In the biparametric form of the Weibull distribution, the probability of failure F(t) and its complement, reliability R(t), become:

Their density function f(t) and failure rate λ(t) result in:


| Where: | b = shape factor |
| T = characteristic lifetime |
Exponential distribution
The exponential distribution particularly represents the lifetime distribution in Phase II of the bathtub curve, the area of random failures. The failure rate is assumed to be constant over time.
With the exponential distribution, the following applies:
Probability of failure:

Reliability:

Density function:

Failure rate:

In this area and in connection with irreparable systems, the term MTTF (mean time to failure) is used to describe the average lifetime.
For a lifetime distribution with a constant failure rate, this means that at the MTTF, the probability of failure is around 63 percent or that on average, approximately 2/3 of all components have failed.

Haftungsausschluss: Die Meinungen, Überzeugungen und Standpunkte der verschiedenen Autoren und/oder Forumsteilnehmer dieser Website spiegeln nicht notwendigerweise die Meinungen, Überzeugungen und Standpunkte der DigiKey oder offiziellen Politik der DigiKey wider.

